Repositorio Institucional
Repositorio Institucional
CONICET Digital
Datos de
Investigación
  • EXPLORAR
    • AUTORES
    • DISCIPLINAS
    • COMUNIDADES
    • TODO
  • Ayuda
    • Qué son y qué no son los Datos de Investigación
    • Cómo obtener un DOI/Handle
    • Cómo reutilizar y citar los Datos de Investigación
    • Preguntas frecuentes | FAQs
    • Contacto
  • Novedades
    • Noticias
    • Boletines
  • Acerca de
JavaScript is disabled for your browser. Some features of this site may not work without it.
  • METADATOS
  • CONDICIONES DE USO
  • ARCHIVOS
  • ITEMS RELACIONADOS
  • ESTADISTICAS
 
 
Datos de investigación

iES_GRdb: Intraspecific plant Economic Spectrum and Growth Rate database

Autores: Gorne, Lucas DamiánIcon
Publicador: Consejo Nacional de Investigaciones Científicas y Técnicas
Fecha de depósito: 05/01/2026
Fecha de recolección: 2019-09/01/2024
Clasificación temática:
Biología

Resumen

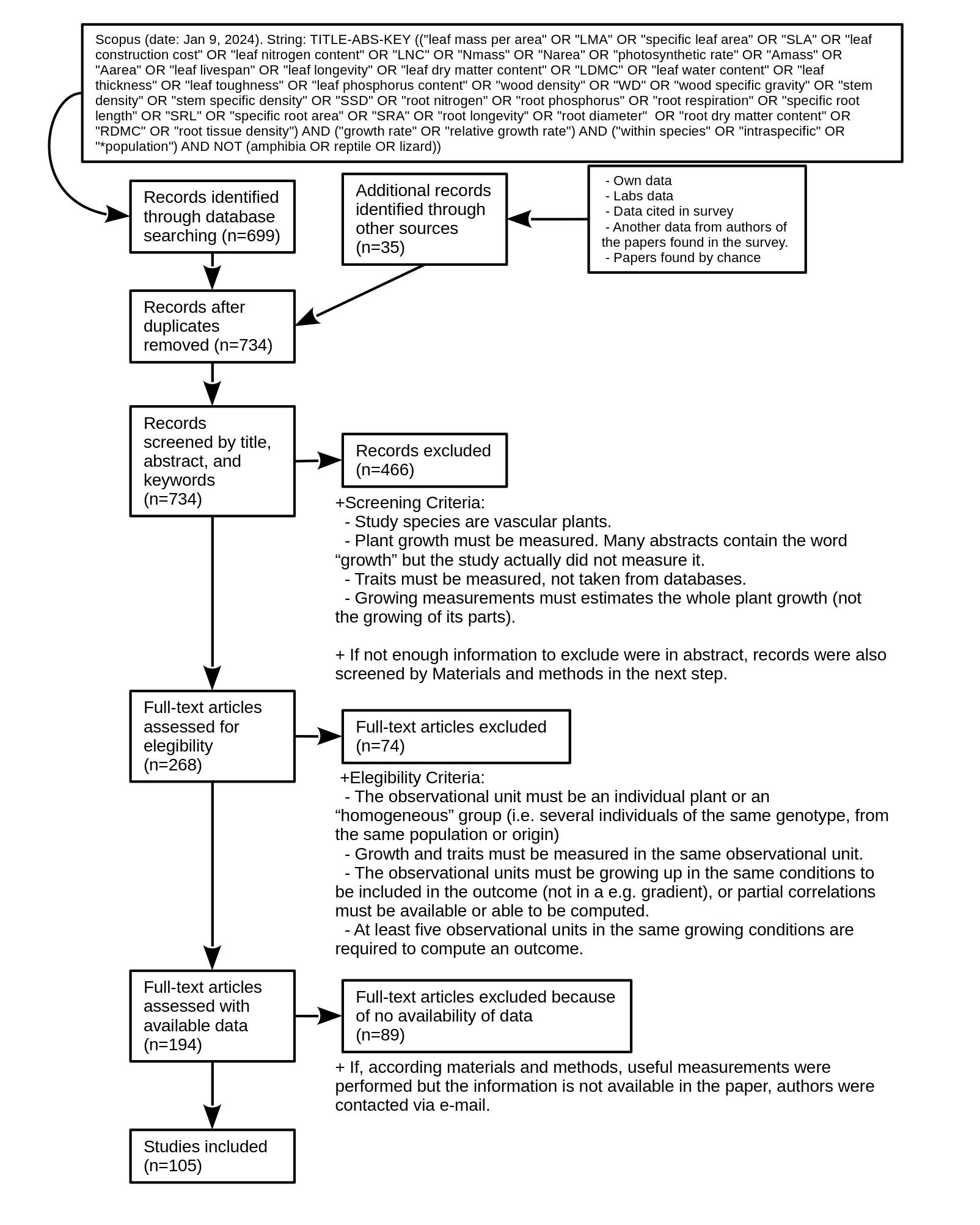
Plant functional ecology (PFE) posits that functional traits affect individual fitness indirectly by affecting performance, and that the effects at the individual level scale up to the community and ecosystem levels. It has been a dynamic and fruitful research field in the past three decades. However, over the past decade, critiques of the plant functional ecology framework have grown, pointing to insufficient empirical testing of its foundational assumptions. One major issue is the mismatch between intraspecific and interspecific levels of inference. Many studies assessing trait–performance relationships have done so along environmental gradients—natural or experimental. In such cases, coordinated changes in traits and growth may reflect variation in resource availability rather than differences in resource-use strategy. Moreover, because fitness is environment-dependent, performance components must be linked to traits within a constant environment, not across variable ones. As highlighted by de Bello et al. (2025), the core of trait-based ecology—linking functional traits to fitness—remains incomplete. While fitness is inherently an individual-level property, most trait-based studies compare populations or species, leaving a critical gap in our understanding of individual-level mechanisms. Within the PFE framework, a set of ‘economic traits’ has been related to resource use strategy at the interspecific level. However, few studies have assessed these patterns at the individual level. This gap of empirical knowledge hinders the integration across organization levels. The present database addresses this gap by providing comprehensive evidence on the relationship between plant economic traits and individual growth rate. It serves two main purposes: (1) To test a fundamental assumption of plant functional ecology—that traits influence fitness via effects on performance (i.e. growth, fecundity, survival). (2) To evaluate the correspondence between trait syndromes and plant strategies at the individual level. This database resulted from a literature survey to identify studies measuring leaf, stem, and root economic traits, and growth rate at the individual level while controlling for growing conditions. de Bello F, Fischer FM, Puy J, Shipley B, Verdú M, Götzenberger L, ... & Garnier E. 2025. Raunkiæran shortfalls: Challenges and perspectives in trait‐based ecology. Ecological monographs, 95(2): e70018.
Palabras clave: Acquisitive syndrome, Conservative syndrome, Economic spectrum, Functional trait, Growth rate, Resource use strategy, Slow-fast spectrum
Previsualización destacada
Identificador del recurso
URI: http://hdl.handle.net/11336/278680
Colecciones
Datos de Investigación(IMBIV)
Datos de Investigación de INST.MULTIDISCIPL.DE BIOLOGIA VEGETAL (P)
Citación
Gorne, Lucas Damián; (2026): iES_GRdb: Intraspecific plant Economic Spectrum and Growth Rate database. Consejo Nacional de Investigaciones Científicas y Técnicas. (dataset). http://hdl.handle.net/11336/278680
Condiciones de uso
Las buenas prácticas científicas esperan que se otorgue el crédito adecuado mediante una citación. Utilice un formato de citación y aplique estas normas de reutilización.
info:eu-repo/semantics/openAccess
Excepto donde se diga explícitamente, este item se publica bajo la siguiente descripción: Creative Commons Attribution-NonCommercial-ShareAlike 2.5 Unported (CC BY-NC-SA 2.5)
Compartir
Archivos del conjunto de datos
Archivo
Notas de uso
Tamaño
 
ES_GR_intra_README.txt
Documentation  Más
21.39Kb
  Descarga
ES_GR_intraData.csv
Main table  Más
1.738Mb
  Descarga
ES_GR_intraTaxa.csv
Complementary table  Más
28.24Kb
  Descarga
iES_GRdb_PRISMA.jpeg
Procedure  Más
324.4Kb
  Descarga
 
 
Descargar todo
  Descargar solo metadatos (JSON)   Descargar solo metadatos (XML)
 
Preparando la descarga
 

Ver el registro completo

Enviar por e-mail
Separar cada destinatario (hasta 5) con punto y coma.
  • Facebook
  • X Conicet Digital
  • Instagram
  • YouTube
  • Sound Cloud
  • LinkedIn

Los contenidos del CONICET están licenciados bajo Creative Commons Reconocimiento 2.5 Argentina License

https://www.conicet.gov.ar/ - CONICET

Explorar

  • Autores
  • Disciplinas
  • Comunidades
  • Todo

Ayuda

  • Qué son y qué no son los Datos de Investigación
  • Cómo obtener un DOI/Handle
  • Cómo reutilizar y citar los Datos de Investigación
  • Preguntas frecuentes | FAQs
  • Contacto

Novedades

  • Noticias
  • Boletines

Acerca de

Godoy Cruz 2290 (C1425FQB) CABA – República Argentina – Tel: +5411 4899-5400 repositorio@conicet.gov.ar
TÉRMINOS Y CONDICIONES